Beregn tryktab når du arbejder med vakuum.
Når man arbejder med vakuum er det en vigtig faktor at kende tryktabet i applikationen.
I mange tilfælde er tryktabet af afgørende betydning for at processen kører optimal, og energien rigtig. I andre tilfælde, er en forkert dimensionering af rør til vakuumanlæg ensbetydende med, at man ikke vil kunne opnår det ønskede slut vakuum eller evakueringshastighed.
Vi har lavet et lille program, som beregner tryktab i lige rør. Selvom der er her tale om et meget simpelt program, har vi testet det i forhold til andre produkter. Det regner lige så nøjagtig som kommercielle udgaver af tryktabsberegningsprogrammer.
Du kan altid lave et groft tjek af din installation ved at anvende vores program, og du er altid velkommen til at kontakte os, for en mere indgående og nøjagtig beregning samt eventuelt hvis en simulering af hele dit anlæg er påkrævet.
Om programmet:
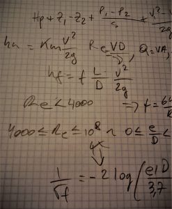
Vi har anvendt Darcy-Weisbach ligninger i kombination med en matematiskt approksimeret Moody friktions faktor.
Disclaimer
This Pressure drop calculator is provided for informational purposes only. While every effort has been
made to ensure the accuracy and reliability of the calculations and information provided by this tool, the
creators and developers of this software, Gugliotta &
co, make no warranties, either express or implied, regarding the correctness, completeness, or
suitability of the results for any particular purpose.
Users are advised to use this tool at their own risk. The developers shall not be held liable for any damages or
losses arising from the use or inability to use this software, including but not limited to direct, indirect,
incidental, or consequential damages.
If you require guaranteed precision and accuracy for your application, we strongly recommend consulting with a
specialized engineering company to acquire validated calculations for your specific needs.
By using this tool, you acknowledge and agree to the terms of this disclaimer. If you do not agree with these
terms, please do not use the Biogas Condensation Calculator.
© 2025 Gugliotta & co. All rights reserved.


